溫度對測量尺寸的影響,千萬不可忽視!
我們每天都在進行著大量的各種不同的測量,在測量過程中都在追求測量的準確。現在,我們就來淺談溫度對長度尺寸測量的影響。
一、影響溫度誤差的因素
在測量條件中,溫度、濕度、震動、灰塵及腐蝕性氣體等因素都可以直接或間接影響測量精確度。在這些因素中,溫度的變化對測量精確度的影響尤為明顯。由于不同物體的膨脹系數差異較大,因此計量時采用被測物體溫度與計量標準儀器的溫度等同的原則,各類計量專業在進行測量時,都應按照檢定規程要求的溫度條件進行工作,以確保檢測數據的準確,目前我國規定計量室的標準溫度為20℃。
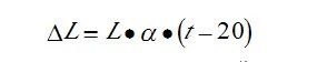
通過查手冊得知線膨脹系數a與溫度變化及尺寸變化的關系有如下關系,可用式(1)表示:

式中:a首要膨脹系數;△L-尺寸變化量;L-物體尺寸;△T一溫度變化量。
當一個工件由于其溫度對20℃有偏差而產生的尺寸變化。可用式(2)表示:

式中:t為物體溫度。
當工件和量具的溫度對標準溫度均有偏差時,溫度所引起的測量誤差為二者尺寸變化之差,其計算公式可表示為式(3):

式中:△L一尺寸變化量;L-物體尺寸;a1 a2一工件和量具材料的線膨脹系數;t1 t2一工件和量具的溫度。
物體線膨脹系數定義:當溫度變化1℃時,單位長度(1mm)的尺寸變化大小,只是與物體材料有關。
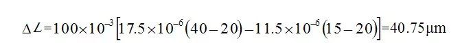
例:假設用外徑千分尺測量?100mm直徑的銅軸,軸的溫度為40℃,外徑干分尺為15℃,銅軸和鋼質外徑千分尺的線膨脹系數各為17.5 x10-6和11.5 x10-6,則尺寸變化量△L為:

可見溫度對工件尺寸影響甚大,此例差出好幾十道去。所以在測量計量器具時,需要把工件與量具經過溫度平衡后在進行測量,則溫度誤差會大大減小。每種量具的檢定,需要平衡的溫度時間在相應的檢定規程和校準規范都有規定。
注:被栓量具與標準量具在一定條件下(如在室溫為(20±6)℃的條件下)溫度趨向一致的過程,叫做溫度的平衡。
二、減小溫度誤差的方法
1、在溫度接近標準溫度時間時進行測量。在實際工作中,我們同樣嚴格按照相關規程,使客戶送檢的計量器具與計量室溫度平衡后再去檢定或校準,所以有時客戶想立刻得到測量數據,那測量的數據一定有溫度影響。
2、在現場測量時也不要把標準器拿出后就進行測量,而是把標準器與工件重疊放置一起,并放在大平板上等溫后在進行測量。
3、避免人手的溫度對工件和量具的影響。例如,使用時和檢定千分尺時必須握住絕熱墊,當發現人手熱量已傳遞到千分尺時,應將其放置一定時間在使用和檢定。
4、在室外測量大尺寸時,需要用測量儀器對于相應材料的溫度補償,把溫度誤差降到更小。



川公網安備 51012402000777號